РУКОВОДСТВО ПОЛЬЗОВАТЕЛЯ Изменение бланка счета-фактуры и улучшение эргономики формы ЭСФ. Форматно-логический контроль ЭСФ. 398.130240013649.01.93.02-02.01.2017-ЛУ
Комитет Государственных доходов Министерства Финансов Республики Казахстан
УТВЕРЖДАЮ
Директор
«Open Systems Development»
__________________ Саулебай М.Н.
"____"________________ 2017 г.
Информационная система по приему и обработке электронных счетов-фактур
РУКОВОДСТВО ПОЛЬЗОВАТЕЛЯ
Изменение бланка счета-фактуры и улучшение эргономики формы ЭСФ
Форматно-логический контроль ЭСФ
398.130240013649.01.93.02-02.01.2017-ЛУ
Разработано Поставщиком
Директор по развитию бизнеса
«Open Systems Development»
__________________ Брусенко Е.В.
"____"_______________ 2017 г.
Менеджер проекта
«Open Systems Development»
__________________ Абрамова А.Б.
"____"_______________ 2017 г
Астана, 2017
Информационная система по приему и обработке электронных счетов-фактур
«Форматно-логический контроль ЭСФ»
РУКОВОДСТВО ПОЛЬЗОВАТЕЛЯ
398.130240013649.01.93.02-02.01.2017-ЛУ
Содержание
Аннотация ...................................................................................................................................... 3
Термины и аббревиатуры ............................................................................................................. 4
Назначение и условия применения .............................................................................................. 5
Назначение системы ...................................................................................................................... 5
Минимальные требования для работы в системе ИС ЭСФ ....................................................... 5
Описание операций системы ........................................................................................................ 6
Изменения в бланке ЭСФ V2. ...................................................................................................... 6
1.1.1. Раздел А «Общий раздел» ...................................................................................... 7
1.1.2. Раздел В «Реквизиты поставщика» ........................................................................ 7
1.1.3. Раздел С «Реквизиты получателя» ......................................................................... 9
1.1.4. Раздел «С1 Реквизиты государственного учреждения» .................................... 10
1.1.5. Раздел «D Реквизиты грузоотправителя и грузополучателя» ........................... 11
1.1.6. Раздел «E Договор (контракт)» ............................................................................ 12
1.1.7. «Раздел F Реквизиты документов, подтверждающих поставку товаров, работ,
услуг» 13
1.1.8. «Раздел G Данные по товарам, работам, услугам» ............................................ 13
1.1.9. Раздел H. Данные по товарам, работам, услугам участников совместной
деятельности ........................................................................................................................ 22
1.1.10. Раздел I Реквизиты поверенного (оператора) поставщика ............................ 24
1.1.11. Раздел J Реквизиты поверенного (оператора) покупателя ............................. 25
1.1.12. Раздел K Дополнительные сведения ................................................................ 26
1.1.13. Разделение сотрудников при выписке ЭСФ и возможность пересылки друг
другу проекта ЭСФ .............................................................................................................. 26
1.1.14. Создание счета-фактуры и отправка черновика другому сотруднику для
совместной выписки ............................................................................................................ 27
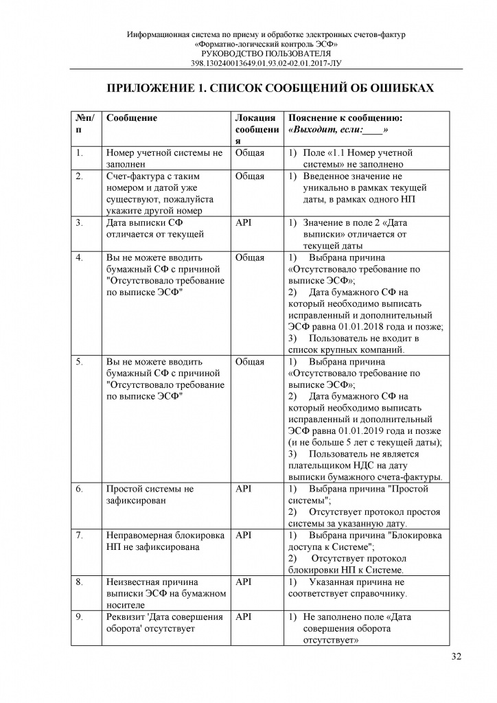
Приложение 1. Список сообщений об ошибках ....................................................................... 32
Лист регистрации изменений ..................................................................................................... 53
АННОТАЦИЯ
Настоящее "Руководство пользователя" содержит описание практического использования системы, автоматизирующего процесс развития ИС ЭСФ.
Документ составлен в соответствии с требованиями следующих стандартов:
1. СТ РК 34.010-2002 "ИТ. Сертификация программных средств. Порядок проведения экспертизы программной документации;
2. ГОСТ 19.101-77 "ЕСПД. Виды программ и программных документов";
3. РД 50-34.698-90 "Методические указания. АС. Требования к содержанию документов".
ТЕРМИНЫ И АББРЕВИАТУРЫ
ГОСТ Государственный стандарт
ИС ЭСФ Информационная система по приему и обработке электронных счетов-фактур
Пользователь Ответственное лицо Участника ИС ЭСФ
ТРУ Товары (работы, услуги)
ФЛ Физическое лицо
ФЛК Форматно-логический контроль
ЭСФ Электронный счет-фактура
ЭЦП Электронная цифровая подпись - набор электронных цифровых символов, созданный средствами электронной цифровой
подписи и подтверждающий достоверность электронного документа, его принадлежность и неизменность содержания
ЮЛ Юридическое лицо
RSA Алгоритм шифрования сертификата электронной цифровой подписи (ЭЦП), предназначенного для определения физического лица, подписавшего электронный документ
GOST Алгоритм шифрования регистрационного свидетельства для электронной цифровой подписи (ЭЦП), предназначенного для
определения юридического лица, подписавшего электронный документ
НАЗНАЧЕНИЕ И УСЛОВИЯ ПРИМЕНЕНИЯ
Назначение системы
Информационная система по приему и обработке электронных счетов-фактур предназначена для автоматизации процесса взаимодействия между поставщиками и покупателями товаров, работ и услуг в части отправки и получения электронных счетов-фактур. В рамках реализации ИС ЭСФ автоматизируются все необходимые операции, связанные с документооборотом счетов-фактур - от создания исходящего счета-фактуры (нового, дополнительного, исправленного) до его отправки Получателю, в случаях, предусмотренных законодательством Республики Казахстан.
Минимальные требования для работы в системе ИС ЭСФ
Для доступа в систему ИС ЭСФ пользователь может использовать:
Web-приложение ИС ЭСФ (портал ИС ЭСФ).
Функции учетной системы, интегрированной с ИС ЭСФ.
Для настройки автоматического обмена необходимо:
Получить ЭЦП в ЦОНе на руководителя организации как на юр.лицо и на руководителя организации как физ.лицо. Если бухгалтер имеет право подписи счетов-фактур, тогда и на бухгалтера как на физ.лицо.
Зарегистрироваться в системе ИС ЭСФ.
Регистрация участника ИС ЭСФ производится посредством заключения соглашения о пользовании системой в веб-приложении ИС ЭСФ. Соглашение заверяется электронной цифровой подписью руководителя предприятия (сертификат Национального Удостоверяющего центра).
Для аутентификации в системе и заверения электронных документов в ИС ЭСФ используются ключи Национального удостоверяющего центра (НУЦ РК).
В ИС ЭСФ используется единый формат передачи данных – xml-формат.
ОПИСАНИЕ ОПЕРАЦИЙ СИСТЕМЫ
Приказом Министра финансов РК от «12» мая 2017 года № 301 утверждены новые Правила документооборота счетов-фактур, выписываемых в электронной форме, и новая форма бланка электронного счета-фактуры, которые вступили в силу с 01.10.2017г. В связи с вводом новой версии бланка и поддержкой возможности выписки дополнительного, исправленного ЭСФ в пределах срока исковой давности вводится понятие «Версионность ЭСФ»:
Бланк версии 1(далее V1) - версия, утвержденная Приказом № 77 от 9 февраля 2015 года и действующая до 01.10.2017 г.
Бланк версии 2 (далее V2) - версия, утвержденная Приказом № 301 от 12 мая 2017 года и действующая с 01.10.2017 г.
Т.о. в системе реализована поддержка бланка V1:
для корректного отображения полей при просмотре ЭСФ в web-интерфейсе ИС ЭСФ, выписанных до 01.10.2017г;
для выписки дополнительных, исправленных ЭСФ V2 к счету-фактуре, выписанному до 01.10.2017г.
Изменения в бланке ЭСФ V2.
В экранной форме бланка ЭСФ V2 добавлены новые поля, изменен порядок заполнения некоторых полей. Ниже будут приведены изменения и описан порядок заполнения полей. Сообщения об ошибках приведены в Приложении 1.
1.1.1. Изменения в журнале ЭСФ
В журнале добавлены колонки: «Дата обновления ЭСФ», «Отправитель».

Рисунок 1
В столбце «Дата обновления ЭСФ» записывается дата последнего изменения СФ.
При создании СФ в столбец записывается дата создания. Далее при любой смене статуса СФ записывается дата последнего изменения.
В столбце «Отправитель» отображается сотрудник, который отправил черновик СФ текущему сотруднику.
1.1.2. Раздел А «Общий раздел»
Если вы вводите бумажный СФ в ИС ЭСФ, то вам необходимо в разделе А «Общий раздел» заполнить следующие поля:
«2.1 Дата выписки на бумажном носителе». Указывается дата выписки счета-фактуры на бумажном носителе, введенного в ИС ЭСФ. Данное поле заполняется на основании сведений, введенных в ИС ЭСФ налогоплательщиком, с указанием одной из причин ввода;
«Причина выписки на бумажном носителе» (Рисунок 2.1) для выбора одного из значений:
o Отсутствовало требование по выписке ЭСФ;
o Простой системы;
o Блокировка доступа к системе;

Рисунок 2.1
1.1.3. Раздел В «Реквизиты поставщика»
При заполнении раздела В «Реквизиты поставщика», обратите внимание, что с вводом бланка версии V2 добавлены новые поля:
«6 БИН структурной единицы (филиала)»;
При выписке ЭСФ филиалом за головное предприятие в ИС ЭСФ вы должны выбрать настройку «Отображать ЭСФ», позволяющую выписывать ЭСФ за головное предприятие(Рисунок 3). После выбора настройки поле 6 «БИН структурной единицы (филиала)» заполнится автоматически БИН филиала/представительства.

Рисунок 3
Поле «6.2 Код ОГД» заполняется автоматически системой сведениями о регистрационном учет налогоплательщика на дату выписки ЭСФ:
для ЮЛ - по месту нахождения/пребывания/жительства";
для ИП - по месту нахождения ИП". При отсутствии сведений заполняется значением - по месту нахождения/пребывания/жительства".
В Поле «7.1 Доля участия» вручную заполняется пользователем доля участия, согласно договорам о совместной деятельности. Доступно для заполнения, если в поле "10 Категория поставщика" отмечена категория "F - Участник договора о совместной
деятельности" и заполнено поле "10.1 Количество" (Рисунок 4).

Рисунок 4
В поле "10 Категория поставщика" (Рисунок 5) устанавливается значение в ячейке:
«А» – если поставщик является комитентом;
«В» – если поставщик является комиссионером;
«С» – если поставщик является экспедитором;
«D» – если поставщик является лизингодателем;
«Е» – если поставщик является участником соглашения (контракта) о разделе продукции (СРП);
«G» – в случае если поставщик:
a. осуществляет вывоз товара в таможенной процедуре экспорта товаров;
b. осуществляет вывоз товара с территории Республики Казахстан на территорию государства-члена ЕАЭС;
«H» –если поставщик является налогоплательщиком, оказывающим услуги по международным перевозкам;
«I» –если поставщик является доверителем.

Рисунок 5
Важно! При отметке одной из ячеек «Е», «G», «H», поставщик товаров, работ, услуг может выписывать ЭСФ в иностранной валюте;
1.1.4. Раздел С «Реквизиты получателя»
В разделе С «Реквизиты получателя» в поле «16 БИН структурной единицы (филиала)» вы можете указать БИН филиала, при этом выполняется проверка наличия в БД связи структурной единицы с головным предприятием по данным ЕХД. При отсутствии связи выдается ошибка: "Указанный БИН не является структурной единицей (филиалом) получателя, указанного в поле "16 ИИН/БИН".
В поле «17.1 Доля участия» вы можете ввести дробное число в десятичном виде, но не более шести знаков после запятой. Поле отображается для заполнения, если в поле "20 Категория получателя" отмечена категория "D - Участник договора о совместной
деятельности".
В поле «18.1 Код страны» можно указать буквенный код (выбор из справочника «Страна» при заполнении поля бланка V2 в web-интерфейсе ИС) страны согласно классификатору стран мира, утвержденному Решением Комиссии Таможенного союза от 20 сентября 2010 года № 378 «О классификаторах, используемых для заполнения таможенных деклараций» (приложение № 22 к Решению). Данная строка обязательна для заполнения, за исключением случаев:
реализации товара на территории Республики Казахстан;
передачи товара в пределах одного юридического лица на территории Республики Казахстан.
В поле "20 Категория получателя" (Рисунок 6) можно установить значение в ячейке:
«А» – в случае если получатель является комитентом;
«В» – в случае если получатель является комиссионером;
«С» – в случае если получатель является лизингополучателем;
«D» – в случае если получатель является участником договора о совместной деятельности.
«G» – в случае если получатель является:
a) участником соглашения (контракта) о разделе продукции (СРП);
b) поставщиком по договору на поставку товаров налогоплательщику, являющимся участником соглашения (контракта) о разделе продукции (СРП);
«H» – в случае если получатель является доверителем;
«I» – в случае если получателем является физическое лицо, которому реализован товар с обязательным представлением чека контрольно-кассовой машины.

Рисунок 6
1.1.5. Раздел «С1 Реквизиты государственного учреждения»
Для выписки ЭСФ государственному учреждению в качестве получателя в бланке V2 добавлен новый раздел «С1 Реквизиты государственного учреждения» с полями «21 ИИК», «22 Код товара, работ, услуг», «23 Назначение платежа», «24 БИК» (Рисунок 7).
Раздел становится активным и обязательным для заполнения, когда:
в поле «20 Категория получателя» указана категория «E - государственное учреждение»
в поле «16 ИИН/БИН» не указан БИН Национального банка (941240001151) или его структурного подразделения.
В поле «21 ИИК» необходимо указать соответствующий индивидуальный идентификационный код контрольного счета наличности.
В поле «22 Код товаров, работ, услуг» необходимо указать код товаров, работ, услуг в соответствии с классификатором перечня товаров, работ, услуг государственных учреждений.
В поле «23 Назначение платежа» необходимо указать назначение платежа для оплаты товаров, работ, услуг, приобретенных государственным учреждением по данному счету-фактуре.
В поле «24 БИК» необходимо указать банковский идентификационный код центрального уполномоченного органа по исполнению бюджета. При создании счета- фактуры в web-интерфейсе ИС ЭСФ, поле автоматически заполняется значением
"KKMFKZ2A" и недоступно для редактирования.

1.1.6. Раздел «D Реквизиты грузоотправителя и грузополучателя»
В разделе «D Реквизиты грузоотправителя и грузополучателя» добавлено новое поле «26.4 Код страны» (Рисунок 8), указывается буквенный код страны (выбор из справочника «Страна» при заполнении поля бланка V2 в web-интерфейсе ИС), согласно классификатору стран мира
Поле автоматически заполняется значением "KZ" без возможности редактирования, если в поле 10 "Категория поставщика" не указаны категории "E - участник СРП", или "G - экспортер", или "H - международный перевозчик" и заполнено одно из полей 26.1. Если в
поле 10 "Категория поставщика" указаны категории "E - участник СРП", "G - экспортер" или "H - международный перевозчик", то поле заполняется выбором значения из справочника.
1.1.7. Раздел «E Договор (контракт)»
В разделе «E Договор (контракт)» добавлен переключатель «27.2 Без договора (контракта) на поставку товаров, работ, услуг». При установке данного переключателя, то поля «27.3 Номер» и «27.4 Дата» становятся недоступными для заполнения.
В поле «29 Способ отправления» необходимо указать способ отправления цифровым кодом (выбор из справочника «Способ отправления» (Рисунок 9) при заполнении поля бланка V2 в web-интерфейсе ИС) согласно классификатору видов
транспорта и транспортировки товаров, утвержденному Решением Комиссии Таможенного союза от 20 сентября 2010 года № 378 «О классификаторах, используемых для заполнения таможенных деклараций».

Рисунок 9
В поле «31.1 Условия поставки» необходимо указать трехзначный буквенный код (выбор из справочника «Условия поставки» (Рисунок 10) при заполнении поля бланка V2 в web-интерфейсе ИС) заглавными буквами, латинским шрифтом в соответствии с классификатором условий поставки, для международных операций в соответствии с обычаями, в том числе обычаями делового оборота (Инкотермс).
Рисунок 10
В новом разделе F (Рисунок 11) поле 32 «Документ, подтверждающий поставку товаров, работ услуг» содержит поля «32.1 Номер» и «32.2 Дата», в которых указываются номер и дата документа, подтверждающего поставку товаров, работ, услуг.
В случае, если заполнено одно из полей 32.1 и 32.2, то второе поле подлежит обязательному заполнению.
Рисунок 111.1.9. «Раздел G Данные по товарам, работам, услугам»
В разделе «Раздел G Данные по товарам, работам, услугам» добавлены новые поля, и изменены механизмы заполнения некоторых полей.
«33.2 курс валюты» - отображается и обязательно заполняется, когда в поле 10 "Категория поставщика" указаны категории "G - экспортер", или "H - международный перевозчик", или "E - участник СРП».
Осуществляется проверка указанного курса валют с курсом валют, определенным в последний рабочий день равный дате совершения оборота, полученным из Нац.банка по следующему URL http://www.nationalbank.kz/rss/get_rates.cfm.
"1" – указывается случая реализации товара, включенного в Перечень, ввезенного на территорию Республики Казахстан из государств-членов ЕАЭС или третьих стран.
В случае если товар ранее приобретен по ЭСФ версии V1, в строке 12 "Дополнительные данные" которого были указаны буквенные значения "ЕТТ", "ВТО" или "ТС", то данный товар относится к Признаку "1";
"2" – в случае реализации товара, не включенного в Перечень, ввезенного на территорию Республики Казахстан из государств-членов ЕАЭС или третьих стран;
"3" – в случае реализации товара, включенного в Перечень, произведенного на территории Республики Казахстан;
"4" – в случае реализации товара, не включенного в Перечень, произведенного на территории Республики Казахстан;
"5" – в случае реализации товара, не относящегося к Признакам "1", "2", "3", "4";
"6" – в случае выполнения работ, оказания услуг.
«G3 Наименование товаров, работ, услуг» - необходимо указать наименование товаров/работ/услуг, наименование может быть длиной до 255 символов.
Поле обязательно заполняется в случае, когда в поле «G2» указан признак «3», «4», «5» или «6». Для признаков «1» или «2» поле можно не заполнять.
«G3/1 Наименование товаров в соответствии с Декларацией на товары или заявлением о ввозе товаров и уплате косвенных налогов » - необходимо указать то наименование товара, которое было отраженно в графе 31 основного (добавочного) листа декларации на товары при импорте с территории третьих стран, или в графе 2 заявления о ввозе товаров и уплате косвенных налогов при импорте с территории государства-члена ЕАЭС.
Поле обязательно заполняется, когда в поле «G2» указан признак «1» или «2».
«G4 Код товара (ТН ВЭД ЕАЭС)» - необходимо указать 10-тизначный код (выбор из справочника «ТН ВЭД» при заполнении поля в web-интерфейсе ИС ЭСФ) ТН ВЭД ЕАЭС.
Также поле обязательно заполняется, в случае экспорта товаров в государства-члены ЕАЭС, когда ЭСФ в поле 10 «категория поставщика» указана категория «G-Экспортер».
Для признака «1» или «3» указывается код ТН ВЭД ЕАЭС с признаком вхождения в перечень изъятия.
Для признака «2» или «4» указывается код ТН ВЭД ЕАЭС без признака вхождения в перечень изъятия.
Поле «G4» необязательно для заполнения для признака «5», указанного в поле «G2», при выписке ЭСФ по реализации товара внутри страны. В случае экспорта товаров в третьи страны, указывается код ТН ВЭД без признака вхождения в перечень изъятия.
«G5 Единица измерения» - необходимо указать единица измерения (выбор из справочника «Единица измерения» при заполнении поля в web-интерфейсе ИС ЭСФ).
Поле заполняется для признаков «1», «2», «3», «4», «5», указанных в поле «G2».
«G6 Кол-во (объем)» - необходимо указать количество (объем) реализуемых по ЭСФ товаров, выполненных работ, оказанных услуг, в соответствии указанной в «G5» единицы измерения. Поле заполняется для признаков «1», «2», «3», «4», «5», указанных в
поле «G2».
При выписке дополнительного ЭСФ, позволяется ввести отрицательное число, в случае возврата товара.
«G7 Цена (тариф) за единицу товара, работы, услуги без косвенных налогов» необходимо указать цена (тариф) товара, выполненной работы, оказанной услуги за единицу измерения (при возможности ее указания) по договору (контракту) без учета НДС и акциза.
Поле заполняется для признаков «1», «2», «3», «4», «5», «6» указанных в поле «G2».
Система позволяет ввести дробное число в десятичном виде, но не более двух знаков после запятой.
При выписке основного ЭСФ, в поле вводится только положительное число. При выписке дополнительного ЭСФ, позволяется ввести отрицательное число, в случае возврата товара.
Система позволяет ввести дробное число в десятичном виде, но не более двух знаков после запятой.
При выписке основного ЭСФ, в поле вводится только положительное число. При выписке дополнительного ЭСФ, позволяется ввести отрицательное число, в случае возврата товара.
«G9 Ставка акциза» - необходимо указать ставка акциза в случае реализации подакцизных товаров.
«G10 Сумма акциза» - необходимо указать сумма акциза по подакцизным товарам, исчисленного по ставке, указанной в поле «G9 Ставка акциза».
Система позволяет ввести дробное число в десятичном виде, но не более двух знаков после запятой.
«G11 Размер оборота по реализации (облагаемый/необлагаемый оборот)» - необходимо указать размер оборота по реализации. Поле обязательно для заполнения и автоматически рассчитывается по формуле G8+G10.
Система позволяет ввести положительное дробное число в десятичном виде, но не более двух знаков после запятой.
При выписке основного ЭСФ, в поле вводится только положительное число. При выписке дополнительного ЭСФ, позволяется ввести отрицательное число, в случае возврата товара.
«G12 Ставка НДС» - необходимо указать ставка НДС (выбор из справочника «Ставка НДС» при заполнении поля в web-интерфейсе ИС ЭСФ), поле обязательно для заполнения. Если налогоплательщик, выписывающий ЭСФ, не является плательщиком
НДС, то поле автоматически заполняется значением «Без НДС» и недоступно для изменения.
«G13 Сумма НДС» - необходимо указать сумма НДС, исчисленного по ставке, указанной в поле «G12». При заполнении в web-интерфейсе ИС ЭСФ, автоматический расчет по формуле «G11»*«G12».
Если в поле «G12 Ставка НДС» указано значение «Без НДС», то в поле «G13 Сумма НДС» автоматически заполняется значением «0».
Система позволяет ввести дробное число в десятичном виде, но не более двух знаков после запятой.
При выписке основного ЭСФ, в поле вводится только положительное число. При выписке дополнительного ЭСФ, позволяется ввести отрицательное число, в случае возврата товара.
«G15 № Декларации на товары, заявления о ввозе товаров и уплате косвенных налогов, СТ-1 или СТ-KZ» необходимо указать регистрационный 20-тизначный номер ДТ или 18-тизначный номер 328.00 для товаров, импортированных в страну. Поле
обязательно для заполнения, когда в поле «G2» указан признак «1».
Регистрационный номер сертификата СТ-1 или СТ-KZ необходимо указать для товаров, произведенных на территории страны. Обязательно заполняется при экспорте товаров в страны ЕАЭС, для признака «3», указанного в поле «G2».
«G16 Номер товарной позиции из Декларации на товары или заявления о ввозе товаров и уплате косвенных налогов» необходимо указать порядковый номер товара, отраженный в графе 32 декларации на товары, или порядковый номер товара, отраженный
в графе 1 заявления о ввозе товаров и уплате косвенных налогов. Поле обязательно для заполнения, когда в поле «G2» указан признака «1».
«G17 Идентификатор товара, работы, услуг» автоматически заполняется значением 1.
С внедрением модуля «Виртуальный склад», в данном поле будет заполняться идентификатор ТРУ из Глобального справочника виртуального склада ИС ЭСФ.
«G18 Дополнительные данные» - необходимо указать дополнительные сведения получателя товаров, работ, услуг, необходимые участникам сделки. Состав сведений определяется сторонами сделки самостоятельно». Возможность указать текст длиной до
При реализации товаров на экспорт в страны ЕАЭС, в бланке ЭСФ заполняются реквизиты:
«10 Категория поставщика» - «G-экспортер»;
«18.1 код страны» должна быть указана страна ЕАЭС;
если в «G2» указан признак «1», то должны быть заполнены следующие реквизиты раздела «G»:
G3/1;
G4 указывается код ТН ВЭД ЕАЭС с признаком товара изъятия;
G5, G6, G7, G8, G9(при наличии), G10(при наличии), G11, G16, G17;
G15 указывается регистрационный 20-тизначный номер ДТ или 18-тизначный номер ФНО 328.00;
1. Если указано 18 символов, то осуществлять проверку соответствия номера следующему формату:
первый фасет содержит 4 цифр;
второй фасет содержит 8 цифр и соответствуют формату даты ддммгггг;
третий фасет содержит 1 символ и может принимать значения "N" или "I";
четвертый фасет содержит 5 цифр.
2. Если указано 20 символов, то осуществлять проверку соответствия номера следующему формату:
- первый фасет содержит 5 цифр и слеш "/";
- второй фасет содержит 6 цифр и соответствуют формату даты ддммгг и слеш "/";
- третий фасет содержит 7 цифр;
если в «G2» указан признак «2», то должны быть заполнены следующие реквизиты раздела «G»:
G3/1;
G4 указывается код ТН ВЭД ЕАЭС без признака товара изъятия;
G5, G6, G7, G8, G9(при наличии), G10(при наличии), G11, G16, G17;
если в «G2» указан признак «3», то должны быть заполнены следующие реквизиты раздела «G»:
G3;
G4 указывается код ТН ВЭД ЕАЭС без признака товара изъятия;
G5, G6, G7, G8, G9(при наличии), G10(при наличии), G11, G17;
G15 указывается регистрационный номер сертификата СТ-1 или СТ-KZ;
1) Если указано 11 символов, то осуществлять проверку соответствия номера следующему формату:
первый фасет содержит значение "KZ";
второй фасет содержит 9 цифр;
2) Если указано 13 символов, то осуществлять проверку соответствия номера следующему формату:
первый фасет содержит значение "KZ";
второй фасет 2 символа;
третий фасет содержит 9 цифр.
если в «G2» указан признак «4», то должны быть заполнены следующие реквизиты раздела «G»:
G3;
G4 указывается код ТН ВЭД ЕАЭС без признака товара изъятия;
G5, G6, G7, G8, G9(при наличии), G10(при наличии), G11, G17;
При реализации товаров на экспорт в третьи страны, в бланке ЭСФ заполняются реквизиты:
«10 Категория поставщика» - «G-экспортер»;
«18.1 код страны» должна быть указана страна не ЕАЭС;
если в «G2» указан признак «1», то должны быть заполнены следующие реквизиты раздела «G»:
G3/1;
G4 указывается код ТН ВЭД ЕАЭС с признаком товара изъятия;
G5, G6, G7, G8, G9(при наличии), G10(при наличии), G11, G16, G17;
G15 указывается регистрационный 20-тизначный номер ДТ или 18-тизначный номер ФНО 328.00;
1. Если указано 18 символов, то осуществлять проверку соответствия номера следующему формату:
первый фасет содержит 4 цифр;
второй фасет содержит 8 цифр и соответствуют формату даты ддммгггг;
третий фасет содержит 1 символ и может принимать значения "N" или "I";
четвертый фасет содержит 5 цифр.
2. Если указано 20 символов, то осуществлять проверку соответствия номера следующему формату:
- первый фасет содержит 5 цифр и слеш "/";
- второй фасет содержит 6 цифр и соответствуют формату даты ддммгг и слеш "/";
- третий фасет содержит 7 цифр;
если в «G2» указан признак «2», то должны быть заполнены следующие реквизиты раздела «G»:
G3/1;
G4 указывается код ТН ВЭД ЕАЭС без признака товара изъятия;
G5, G6, G7, G8, G9(при наличии), G10(при наличии), G11, G16, G17;
если в «G2» указан признак «3», то должны быть заполнены следующие реквизиты раздела «G»:
G3;
G4 указывается код ТН ВЭД ЕАЭС с признаком товара изъятия;
G5, G6, G7, G8, G9(при наличии), G10(при наличии), G11, G17;
если в «G2» указан признак «4», то должны быть заполнены следующие реквизиты раздела «G»:
G3, G5, G6, G7, G8, G9(при наличии), G10(при наличии), G11, G17;
если в «G2» указан признак «5», то должны быть заполнены следующие реквизиты раздела «G»:
G3, G5, G6, G7, G8, G9(при наличии), G10(при наличии), G11, G17;
При реализации товаров внутри страны, в бланке ЭСФ заполняются реквизиты:
если в «G2» указан признак «1», то должны быть заполнены следующие реквизиты раздела «G»:
G3/1;
G4 указывается код ТН ВЭД ЕАЭС с признаком товара изъятия;
G5, G6, G7, G8, G9(при наличии), G10(при наличии), G11, G16, G17;
G15 указывается регистрационный 20-тизначный номер ДТ или 18- тизначный номер ФНО 328.00;
1. Если указано 18 символов, то осуществлять проверку соответствия номера следующему формату:
первый фасет содержит 4 цифр;
второй фасет содержит 8 цифр и соответствуют формату даты ддммгггг;
третий фасет содержит 1 символ и может принимать значения "N" или "I";
четвертый фасет содержит 5 цифр.
2. Если указано 20 символов, то осуществлять проверку соответствия номера следующему формату:
- первый фасет содержит 5 цифр и слеш "/";
- второй фасет содержит 6 цифр и соответствуют формату даты ддммгг и слеш "/";
- третий фасет содержит 7 цифр;
если в «G2» указан признак «2», то должны быть заполнены следующие реквизиты раздела «G»:
G3/1;
G4 указывается код ТН ВЭД ЕАЭС без признака товара изъятия;
G5, G6, G7, G8, G9(при наличии), G10(при наличии), G11, G16, G17;
если в «G2» указан признак «3», то должны быть заполнены следующие реквизиты раздела «G»:
G3;
G4 указывается код ТН ВЭД ЕАЭС с признаком товара изъятия;
G5, G6, G7, G8, G9(при наличии), G10(при наличии), G11, G17;
если в «G2» указан признак «4», то должны быть заполнены следующие реквизиты раздела «G»:
G3, G5, G6, G7, G8, G9(при наличии), G10(при наличии), G11, G17;
если в «G2» указан признак «5», то должны быть заполнены следующие реквизиты раздела «G»:
G3, G5, G6, G7, G8, G9(при наличии), G10(при наличии), G11, G17;
1.1.10. Раздел H. Данные по товарам, работам, услугам участников совместной деятельности
Если Вы являетесь участником совместной деятельности, то Вам необходимо выполнить следующие действия:
Для поставщиков (Рисунок 121):
o в поле 10 «Категория поставщика» отметить категорию «F - Участник договора о совместной деятельности»;
o заполнить поле 10.1 «Количество»
Рисунок 121 Отметка категории поставщика
o в поле 20 "Категория получателя" отметить категорию "D - Участник договора о совместной деятельности";
o заполнить поле 20.1 "Количество"
Рисунок 113 Отметка категории получателя
Рисунок 114 Автоматическое копирование раздела H для каждого участника совместной деятельности
В разделе H предусмотрено определенное заполнение полей:
1) Следующие поля раздела H заполняются автоматически из соответствующих полей раздела G без возможности редактирования:
34.1 ИИН/БИН участника совместной деятельности;
34.2 БИН реорганизованного лица;
H2 Признак происхождения товаров, работ, услуг;
H3 Наименование товаров, работ, услуг;
H3/1 Наименование товаров в соответствии с Декларацией на товары или заявлением о ввозе товаров и уплате косвенных налогов;
H4 Код товара (ТН ВЭД ЕАЭС);
H5 Ед. изм;
H7 Цена (тариф) за единицу товара, работы, услуги без косвенных налогов;
H9 Ставка акциза;
H12 Ставка НДС;
H15 № Декларации на товары, заявления о ввозе товаров и уплате косвенных налогов;
H16 Номер товарной позиции из заявления о ввозе товаров и уплате косвенных налогов или Декларации на товары, СТ-KZ, СТ-1;
H17 Идентификатор товара, работ, услуг;
2) Поле «H1 № п/п» заполняется системой автоматически номером по порядку.
3) Поле «H6 Кол-во (объем)» заполняется пользователем вручную.
4) Поле «H8 Стоимость товаров, работ, услуг без косвенных налогов» заполняется:
автоматически если заполнены графы H6 и H7 по формуле H6*H7;
вручную, если графы H6 и H7 не заполнены.
5) Поле «H10 Сумма акциза» заполняется пользователем вручную.
6) Поле «H11 Размер оборота по реализации (облагаемый/необлагаемый оборот)» заполняется автоматически по формуле H8+H10, может иметь отрицательное значение.
7) Поле «H13 Сумма НДС» заполняется автоматически по формуле H11*H12, может иметь отрицательное значение. Если в графе H12 "Ставка НДС" указано значение "Без НДС", поле заполняется значением «0».
8) Поле «H14 Стоимость товаров, работ, услуг с учетом косвенных налогов» заполняется автоматически по формуле H11+H13, может иметь отрицательное значение.
9) Поле «H18 Дополнительные данные» заполняется пользователем вручную.
10) Поле «Всего по счету» заполняется автоматически суммой значений по всем строкам граф H8, H10, H11, H13, H14. Расчет производится отдельно по каждой графе по поставщикам и покупателям.
1.1.11. Раздел I Реквизиты поверенного (оператора) поставщика
Если Вы являетесь поверенным (оператором) поставщика, то Вам необходимо в поле 10 «Категория поставщика» отметить категорию «I - доверитель» (Рисунок 115).
Рисунок 115 Отметка категории поставщика
При этом будет доступен для заполнения раздел I (Рисунок 116).
Рисунок 116. Раздел I
В разделе I предусмотрено определенное заполнение полей:
1) Поле «35 БИН» является обязательным для заполнения, заполняется вручную БИН-ом пользователя.
2) Поле «36 Поверенный» заполняется автоматически наименованием предприятия на основании значения, введенного в поле «35 БИН», без возможности редактирования.
3) Поле «37 Адрес места нахождения» заполняется автоматически адресом местонахождения на основании значения, введенного в поле «35 БИН», без возможности редактирования.
4) Поля «38.1 Номер» и «38.2 Дата»» заполняются пользователям вручную.
1.1.12. Раздел J Реквизиты поверенного (оператора) покупателя
Для того, чтобы заполнить данные по поверенному (оператору) покупателя, Вам необходимо в поле 20 «Категория покупателя» отметить категорию «H - доверитель» (Рисунок 117Рисунок 115).
Рисунок 117 Отметка категории покупателя
При этом будет доступен для заполнения раздел J (Рисунок 118Рисунок 114).
Рисунок 118. Раздел J
В разделе J предусмотрено определенное заполнение полей:
1) Поле «39 БИН» является обязательным для заполнения, заполняется вручную БИН-ом поверенного (оператора) покупателя.
2) Поле «40 Поверенный» заполняется автоматически наименованием предприятия на основании значения, введенного в поле «39 БИН», без возможности редактирования.
3) Поле «41 Адрес места нахождения» заполняется автоматически адресом местонахождения на основании значения, введенного в поле «39 БИН», без возможности редактирования.
4) Поля «42.1 Номер» и «42.2 Дата»» заполняются пользователям вручную.
1.1.13. Раздел K Дополнительные сведения
Для того, чтобы заполнить дополнительные сведения Вам необходимо перейти в раздел K и заполнить вручную поле «43.Дополнительные сведения» (Рисунок 119Рисунок 115).
Рисунок 119 Раздел К
1.1.14. Разделение сотрудников при выписке ЭСФ и возможность пересылки друг другу проекта ЭСФ
С внедрением нового бланка ЭСФ доступна функция совместной работы с черновиком ЭСФ сотрудниками организации.
Совместная работа с черновиком ЭСФ позволяет выполнить:
пересылку черновика между сотрудниками для работы каждого над своим разделом;
редактирование одного и того же документа сотрудниками со своих рабочих мест;
просмотр и редактирование ЭСФ сотрудниками, принимающими участие в его подготовке.
1.1.15. Создание счета-фактуры и отправка черновика другому сотруднику для совместной выписки
Для отправки черновика ЭСФ другому сотруднику необходимо на форме ЭСФ нажать кнопку «Сохранить черновик» (Рисунок 209).
Рисунок 209
Отобразится сообщение об успешном сохранении черновика и на форме ЭСФ появится кнопка «Отправить сотруднику» (Рисунок 210).
Рисунок 210
1. Инициировать функцию отправки другому сотруднику.
2. Отобразится запрос о подтверждении операции (Рисунок ).
Рисунок 21
3. Нажать кнопку «Да» для подтверждения запроса об отправке черновика другому сотруднику.
4. Отобразится окно для выбора сотрудника (Рисунок ).
Рисунок 22
5. Выбрать сотрудника из выпадающего списка.
В поле «ФИО сотрудника» можно осуществить поиск по вводу ФИО/ИИН сотрудника. Отобразится список сотрудников с правом «Создавать черновик», согласно отбору (Рисунок 23).
Рисунок 23
Если поставщик является оператором/поверенным, при выборе сотрудника для пересылки черновика, отображается список сотрудников организации оператора/поверенного.
Если поставщиком является головное подразделение, при выборе сотрудника для пересылки черновика, ИС ЭСФ отображает всех сотрудников головного и структурных подразделений.
Если поставщиком является структурное подразделение, при выборе сотрудника для пересылки черновика, ИС ЭСФ отображает список сотрудников данного структурного подразделения
6. Нажать кнопку «Отправить» (Рисунок ).
Рисунок 24
Отобразится сообщение об успешной отправке черновика другому сотруднику (Рисунок ).
Рисунок 25
Отправленный черновик у другого сотрудника появится в разделе «Черновики» журнала счетов-фактур. Черновик, отправленный другим сотрудником организации будет выделен зеленым цветом (Рисунок ).
Рисунок 26
7. Выбрать черновик счет-фактуры, отправленный другим сотрудником.
Отобразится форма ЭСФ с определенными разделами согласно правам по выписке ЭСФ.
8. Заполнить разделы.
9. Для отправки другому сотруднику нажать кнопку «Отправить сотруднику»
(Рисунок ).
10. Для отправки ЭСФ контрагенту нажать кнопку «Отправить» (Рисунок 22).
Рисунок 22
11. При нажатии кнопки «Отправить», если на форме имеются не заполненные обязательные поля, то система выдает сообщение (Рисунок ).
Рисунок 29
Проверка заполнения обязательных полей прошла успешно. ИС ЭСФ отображает окно для выбора сертификата (Рисунок ).
Рисунок 30
12. Подписать ЭСФ ключом ЭЦП GOST/RSA (Рисунок ).
Отобразится сообщение: Счет-фактура создан и добавлен в очередь обработки
(Рисунок ).
Рисунок 32
Отправленный контрагенту ЭСФ отображается у всех сотрудников в фильтре «Отправленные», подфильтре «Не просмотренные» (Рисунок 23).
Рисунок 23






















- 33862
- 0
- 2 ноября 2017
Комментарии
Чтобы иметь возможность читать и оставлять комменарии, необходимо иметь активную подписку на сайте.